y=0.15*x-3,1.75<x<16.49

y>[0.15*x-3],4<x<16.49,y<-0.4

y=0.15*x-1,2.45<x<17.6

y<[0.15*x-1],4<x<16.5,y>-0.4

y>[0.15*x-1],4<x<16.5,y<1.6

y=0.2*x+2,1.9<x<17

y>[0.2*x+2],4<x<16.5,y<5.9

y<[0.2*x+2],4<x<16.5,y>1.6

y=0.1*x+5.5,4<x<17

y<[0.1*x+5.5],4<x<16.5,y>5.9

0.5*y>[[x-16.5]^2-0.26],16.5<x<17.35,y<0.1*x+5.5,y<-(0.4*x)+14

1.5*y=[-[x-19.5]^2+6],17.25<x<21

1.5*y>[-[x-19.5]^2+6],17.35<x<19.5,y<6

7*y=-[x-19.65]^2+45,17<x<19

7*y<-[x-19.65]^2+45,17.85<x<18.7,y>6

7*y>-[x-19.65]^2+45,17.85<x<18.7,y<6.35

y>6,y<6.35,x<17.85,x>17.35

1.5*y=-[x-18.5]^2+10,19.5<x<21

1.5*y<[-[x-18.5]^2+10],19.5<x<20.5,y>4

[x-18.955]^2+[y-5.75]^2<0.6^2,18.7<x<19.5,6<y<6.5

[x-18.955]^2+[y-5.75]^2=0.6^2,18.7<x<19.5,5.5<y<6.5

[[[x-19.5]^2]/1.75^2]+[[[y-0.5]^2]/3^2]=1

[[[x-19.5]^2]/1.75^2]+[[[y-0.4]^2]/3^2]=0.75

[[[x-19.65]^2]/1^2]+[[[y-0.05]^2]/1^2]<0.8

x>19.35,3>y>0.82,[[[x-19.5]^2]/1.75^2]+[[[y-0.4]^2]/3^2]<0.75,x<20,[[[x-19.65]^2]/1^2]+[[[y-0.05]^2]/1^2]>0.8

x>19.5,-0.75>y>-2.2,[[[x-19.5]^2]/1.75^2]+[[[y-0.4]^2]/3^2]<0.75,x<20,[[[x-19.65]^2]/1^2]+[[[y-0.05]^2]/1^2]>0.8

x=20,2.85>y>0.8

x=20,-0.7>y>-2.05

y=1.5*x-30,20.33<x<20.9

y>1.5*x-30,20<x<20.9,[[[x-19.5]^2]/1.75^2]+[[[y-0.4]^2]/3^2]<0.75,[[[x-19.65]^2]/1^2]+[[[y-0.05]^2]/1^2]>0.8,y<1.5*x-29.2

y=[1.5*x-30],18.75<x<19.5

y>[1.5*x-30],18<x<19.5,[[[x-19.5]^2]/1.75^2]+[[[y-0.4]^2]/3^2]<0.75,[[[x-19.65]^2]/1^2]+[[[y-0.05]^2]/1^2]>0.8,y<1.5*x-29.2

y=1.5*x-29.2,18.45<x<19.09

y=1.5*x-29.2,20<x<20.75

y=-(1.25*x)+25,18.335<x<19.34

y<-(1.25*x)+25,x<19.34,[[[x-19.5]^2]/1.75^2]+[[[y-0.4]^2]/3^2]<0.75,[[[x-19.65]^2]/1^2]+[[[y-0.05]^2]/1^2]>0.8,y>-(1.25*x)+24.25

y=-(1.25*x)+25,20.33<x<20.79

y<-(1.25*x)+25,x<20.79,[[[x-19.5]^2]/1.75^2]+[[[y-0.4]^2]/3^2]<0.75,[[[x-19.65]^2]/1^2]+[[[y-0.05]^2]/1^2]>0.8,y<0,y>-(1.25*x)+24.25

y=-(1.25*x)+24.25,18.15<x<18.98

y=-(1.25*x)+24.25,20<x<20.58

y<0.5,20.35<x<21,[[[x-19.5]^2]/1.75^2]+[[[y-0.4]^2]/3^2]<0.75,[[[x-19.65]^2]/1^2]+[[[y-0.05]^2]/1^2]>0.8,y>-0.4

y<0.54,18<x<19,y>-0.57,[[[x-19.5]^2]/1.75^2]+[[[y-0.4]^2]/3^2]<0.75,[[[x-19.65]^2]/1^2]+[[[y-0.05]^2]/1^2]>0.8

y=-0.4,20.35<x<20.95

y=-0.57,18.07<x<19.1

x<19.35,3>y>0.82,[[[x-19.5]^2]/1.75^2]+[[[y-0.4]^2]/3^2]<0.75,y>-(1.25*x)+25

x<19.5,-0.75>y>-2.2,[[[x-19.5]^2]/1.75^2]+[[[y-0.4]^2]/3^2]<0.75,y<1.5*x-30

x>20,-0.7>y>-2.05,[[[x-19.5]^2]/1.75^2]+[[[y-0.4]^2]/3^2]<0.75,y<[-(1.25*x)+24.25]

y>-(1.25*x)+25,20.33<x,[[[x-19.5]^2]/1.75^2]+[[[y-0.4]^2]/3^2]<0.75,y<-0.4

y>1.5*x-29.2,18<x<19.09,[[[x-19.5]^2]/1.75^2]+[[[y-0.4]^2]/3^2]<0.75,y<-0.57

y<-(1.25*x)+24.25,x<18.98,y>0.54,[[[x-19.5]^2]/1.75^2]+[[[y-0.4]^2]/3^2]<0.75

y<1.5*x-30,20.33<x<21,[[[x-19.5]^2]/1.75^2]+[[[y-0.4]^2]/3^2]<0.75,y>0.5

x>20,2.85>y>0.8,[[[x-19.5]^2]/1.75^2]+[[[y-0.4]^2]/3^2]<0.75,y>1.5*x-29.2

[[[x-19.5]^2]/1.75^2]+[[[y-0.4]^2]/3^2]>0.75,[[[x-19.5]^2]/1.75^2]+[[[y-0.5]^2]/3^2]<1

y=-2.5,17.5<x<19.5

y=3.5,18.7<x<19.5

y=-(0.4*x)+13.98,16.97<x<19.25

y<-(0.4*x)+13.98,17.33<x<19.25,y>6.35

-(75*y)=[x+4]^2-900,15.3>x>7

[-(75*y)]>[[x+4]^2-900],11.4>x>7,y>8

[[x-15.4]^2+[y-7.65]^2]=0.6^2,15<x<15.6,6<y<7.5

[-(100*y)]=[[x+4]^2-1160],-10<x<7

[-(100*y)]>[[x+4]^2-1160],-5<x<7,-(100*y)<[x+2]^2-1050,[[[[x-6.5]^2]/0.25^2]+[[[y-7.9]^2]/0.25^2]]>100,[-y]<[[x+5]^2-11]

[-(100*y)]>[[x+4]^2-1160],-10<x<-5,-(100*y)<[x+2]^2-1050,[[[[x-6.5]^2]/0.25^2]+[[[y-7.9]^2]/0.25^2]]>100,y>10.5,[-y]<[[x+5]^2-11]

-(24*y)=[x+9]^2-250,-12.5<x<-6

-(24*y)<[x+9]^2-250,-12.5<x<-5,[-y]<[[x+5]^2-11],y<10.5,-(25*y)>[x+4]^2-318

[-y]>[[x+5]^2-11],y>7,[-(100*y)]<[[x+8]^2-800]

[-y]<[[x+5]^2-11],[-(100*y)]<[[x+8]^2-800],-4<x<-1,y<9.4

[-(100*y)]>[[x+8]^2-800],-16<x<-1,y>7,-(25*y)>[x+4]^2-318

[-(100*y)]<[[x+8]^2-800],-16<x<-1,10.5>y>7,-(25*y)>[x+4]^2-318,[-y]<[[x+5]^2-11],x<-5,[-(24*y)]>[[x+9]^2-250]

[-(100*y)]>[[x+2]^2-1000],-4<x<4.6,y>9.4,[-y]<[[x+5]^2-11]

[-(100*y)]<[[x+2]^2-1000],y>9.4,-(100*y)>[x+2]^2-1050,[-y]<[[x+5]^2-11],[[[[x-6.5]^2]/0.25^2]+[[[y-7.9]^2]/0.25^2]]>100,-6<x<6

-(100*y)=[x+2]^2-1050,-4.2<x<5.15

[[[[x-6.5]^2]/0.25^2]+[[[y-7.9]^2]/0.25^2]]<100,y>8,x<7

x=4,-2.4<y<8

x>4,8>y,x<11.4,y>0.1*x+5.5

y>[-(0.025*x)+6],4>x>-1,y<9.4

y>[-(0.025*x)+6],4.5>x>4,8<y<9.4,[[[[x-6.5]^2]/0.25^2]+[[[y-7.9]^2]/0.25^2]]>100

[x+2.5]^2+[y-0]^2=5^2,-1.75<y<3.5,x>1

[[[x+0.025]^2]/1.75^2]+[[[y+0.25]^2]/3^2]=1.75

[[[x+0.025]^2]/1.75^2]+[[[y+0.25]^2]/3^2]<1.75,[[[x+0.025]^2]/1.75^2]+[[[y+0.25]^2]/3^2]>1.35

[[[x+2.125]^2]/1.75^2]+[[[y+0.2]^2]/3^2]=1.75,-3.8<x<-2.25,y<0

[[[x+2.125]^2]/1.75^2]+[[[y+0.2]^2]/3^2]<1.75,-3.8<x<-1.75,y<-2.9

[[[x+0.025]^2]/1.75^2]+[[[y+0.25]^2]/3^2]>1.75,y<-2.9,y>-4.15,x<0,x>-1.75

[[[x+0.1]^2]+[[y+0.2]^2]]<1.75

x<0.6,x>-0.5,[[[x+0.025]^2]/1.75^2]+[[[y+0.25]^2]/3^2]<1.35,[[[x+0.1]^2]+[[y+0.2]^2]]>1.75

x=-0.5,1.15<y<3.7

x=-0.6,-1.4>y>-4.1

y<0.2,y>-0.75,[[[x+0.025]^2]/1.75^2]+[[[y+0.25]^2]/3^2]<1.35,[[[x+0.1]^2]+[[y+0.2]^2]]>1.75,x<0

y<0.1,y>-0.75,[[[x+0.025]^2]/1.75^2]+[[[y+0.25]^2]/3^2]<1.35,[[[x+0.1]^2]+[[y+0.2]^2]]>1.75,x>0

y=[-0.75],-2.35<x<-1.35

y=-0.75,1.1<x<2.25

x>0.6,1<y<3.6,y>1.5*x,[[[x+0.025]^2]/1.75^2]+[[[y+0.25]^2]/3^2]<1.35

x>0.5,-1.3>y>-4.1,[[[x+0.025]^2]/1.75^2]+[[[y+0.25]^2]/3^2]<1.35,y<-(1.5*x)-0.65

x<-0.5,1.1<y<3.7,[[[x+0.025]^2]/1.75^2]+[[[y+0.25]^2]/3^2]<1.35,y>[-(1.5*x)+0.2]

y>0.2,-2.4<x<-1.3,y<-(1.5*x)-1.75,[[[x+0.025]^2]/1.75^2]+[[[y+0.25]^2]/3^2]<1.35

y<-0.75,-2.35<x<-1.35,y>1.5*x+1.2,[[[x+0.025]^2]/1.75^2]+[[[y+0.25]^2]/3^2]<1.35

y<-0.75,1.1<x<2.25,y>-(1.5*x)+0.9,[[[x+0.025]^2]/1.75^2]+[[[y+0.25]^2]/3^2]<1.35

y>0.1,1.2<x<2.25,[[[x+0.025]^2]/1.75^2]+[[[y+0.25]^2]/3^2]<1.35,y<1.5*x-1.6

x<-0.6,-1.4>y>-4.1,[[[x+0.025]^2]/1.75^2]+[[[y+0.25]^2]/3^2]<1.35,y<1.5*x-0.5

y<1.5*x,0.6<x,[[[x+0.025]^2]/1.75^2]+[[[y+0.25]^2]/3^2]<1.35,[[[x+0.1]^2]+[[y+0.2]^2]]>1.75,y>1.5*x-1.6

y<1.5*x+1.25,y>1.5*x-0.5,[[[x+0.025]^2]/1.75^2]+[[[y+0.25]^2]/3^2]<1.35,[[[x+0.1]^2]+[[y+0.2]^2]]>1.75,x<-0.1

y<-(1.5*x)+0.2,[[[x+0.025]^2]/1.75^2]+[[[y+0.25]^2]/3^2]<1.35,[[[x+0.1]^2]+[[y+0.2]^2]]>1.75,x<0,y>-(1.5*x)-1.75

y<-(1.5*x)+0.9,[[[x+0.025]^2]/1.75^2]+[[[y+0.25]^2]/3^2]<1.35,[[[x+0.1]^2]+[[y+0.2]^2]]>1.75,x>0,y>-(1.5*x)-0.65

y=1.5*x-0.5,-1.7<x<-0.6

y=1.5*x-1.6,1.1<x<2.1

y=-(1.5*x)-0.65,0.5<x<1.6

y=-(1.5*x)-1.75,-2.15<x<-1.3

y=-4.18,-2.5<x<0.1

y=3.75,-1.25<x<0

[[[x+0.025]^2]/1.75^2]+[[[y+0.25]^2]/3^2]=1.35

[[[x+0.24]^2]/1.75^2]+[[[y+0.1]^2]/3^2]=2,x<1.1,-3<y

[x-17]^2+[y-6.6]^2=0.6^2,16.8<x<17.3,y>6.5

-y=[x-11]^2-8.949999999999999,11<x<12.5

-y>[x-11]^2-8.949999999999999,11.4<x<12.5,y>0.1*x+5.5

-y<[x-11]^2-8.949999999999999,y>0.1*x+5.5,x>11.4,-(75*y)>[x+4]^2-900

-(25*y)=[x+4]^2-318,-10>x>-16

[-(25*y)]>[[x+4]^2-318],-10>x>-12,y>10.5

-(200*y)=[x+15]^2-1400,-16<x<-1

-(200*y)<[x+15]^2-1400,-16<x<-1,y<7

y=[-(0.025*x)-3],-2.1>x>-13.75

y>[-(0.025*x)-3],-2.1>x>-13.75,y<([x+15]^2-450)/400,x<-2.7

y=-(0.025*x)-3,-23.5>x>-25.75

y>0.025*x-1.75,-14>x>-23.55,400*y<[x+15]^2-750

y=0.025*x+7.4,-15.9>x,x>[-22]

[[[x+22]^2]/3^2]+[[[y-2.9]^2]/1.75^2]=5,-22>x,y>3

[[[x+22]^2]/3^2]+[[[y-2.9]^2]/1.75^2]<5,-24>x,y>3,[[[[x+24]^2]/2^2]+[[[y-2]^2]/4^2]]>1.3

[[[x+24]^2]/3^2]+[[[y-4.2]^2]/3^2]<5,-25.7>x>-28.6,y<0,400*y<[x+15]^2-450

[x+25.9]^2/2^2+[[[y-1.9]^2]/3.5^3]=2,3>y>-0.6,x<[-25]

400*y=[x+15]^2-750,-23.5<x<-14

400*y=[x+15]^2+700,-28.7<x<-2.4

400*y>[x+15]^2+700,[x+25.9]^2/2^2+[[[y-1.9]^2]/3.5^3]<2,[[[x+24]^2]/2^2]+[[[y-2]^2]/4^2]>1.3,y<3

400*y<[[x+15]^2+700],[x+25.9]^2/2^2+[[[y-1.9]^2]/3.5^3]<2,y>[-(0.1*x)-1.25],[[[x+23.5]^2]/2^2]+[[[y-3]^2]/4^2]>2*l

400*y=[x+15]^2-450,x>-28.6,x<-2.6

400*y<[x+15]^2-450,x>-25.75,x<-14.1,400*y>[x+15]^2-750

400*y<[x+15]^2-450,x>-25.75,x<-14.1,400*y<[x+15]^2-750,y>-(0.025*x)-3,x<[-23.45]

[[[x+24]^2]/2^2]+[[[y-2]^2]/4^2]=1.3,y>2.1,x<-24

[[[x+23.5]^2]/2^2]+[[[y-3]^2]/4^2]=2,-25.6>x>-27,y<2.1

[[[x+4]^2]/5^2]+[[[y+11.5]^2]/7^2]<6,-13.75<x<-4,400*y>[x+15]^2+700,y>-(0.1*[x+0.7]^2)+5

[[[x+4]^2]/5^2]+[[[y+11.5]^2]/7^2]=6,-13.75<x<-4

y=0.03*x+5.75,-4<x<4

[[[x+9.199999999999999]^2]/5^2]+[[[y+1.25]^2]/4^2]=5,-19.7<x<-16,y>0

[[[x+25]^2]/1.75^2]+[[[y-3.5]^2]/3^2]=5,-27.65<x<-23.1,y<0

y=[0.05*x+1.7],-12.25<x<-5

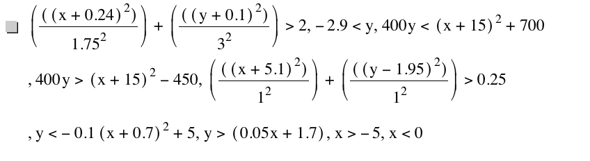
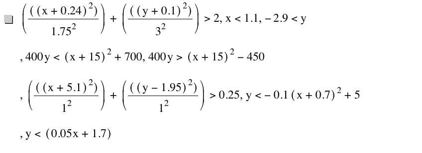
y>[0.05*x+1.7],-12.25<x<-5,[[[x+5.1]^2]/1^2]+[[[y-1.95]^2]/1^2]>0.25,400*y<[x+15]^2+700,[[[x+4]^2]/5^2]+[[[y+11.5]^2]/7^2]<6

[[[x+5.1]^2]/1^2]+[[[y-1.95]^2]/1^2]<0.25,400*y<[x+15]^2+700

[[[x+5.1]^2]/1^2]+[[[y-1.95]^2]/1^2]=0.25,x>-5,y<2

y=[-(0.1*x)-1.25],-28.75<x<-26.25

y=0.05*x+1.75,-20<x<-12.25

y=-(0.1*x)-1.25,-26.25<x<-20

[[[x+19]^2]/1^2]+[[[y-3]^2]/1^2]=0.5

[[[x+18.8]^2]/0.25^2]+[[[y-3]^2]/1.25^2]=0.25

[[[x+19.2]^2]/0.25^2]+[[[y-3]^2]/1.25^2]=0.25

[[[x+19]^2]/0.25^2]+[[[y-3.35]^2]/0.25^2]=2

[[[x+26.3]^2]/0.25^2]+[[[y+0.05]^2]/0.25^2]=3.1,-26.3<x,y<-0.15

y=[-(0.125*x)-3.8],-28.75<x<-26.25

y=-(0.2*x)-4.5,-28.75<x<-26.1

y=-(0.1*[x+0.7]^2)+5,-6.25<x<4

y=-(0.1*[x+0.7]^2)+5,-8.5<x<-6.75

y=0.25*x+2.3,-13.75<x<-11.7

y=2*x+22.75,-11.7<x<-10.75

y=0.02*x-0.4,-11.75<x<-8.199999999999999

y>0.02*x-0.4,y>-(0.1*[x+0.7]^2)+5,y<2*x+22.75,y<[0.05*x+1.7],x<0

y>-(2*x)-30,-13.7>x>-14.1,400*y<[x+15]^2-450

1.5*y<-[x-18.5]^2+10,19.5<x<21,1.5*y>-[x-19.5]^2+6,y<4

y=-(2*x)-30,-13.7>x>-14.1

x=-23.5,-1.6>y>-2.4

[[[x-3]^2]/0.25^2]+[[[y-4.075]^2]/0.25^2]<2.1,x<3,y>2.9

y<4.45,3<x<4,y>-(0.1*[x+0.7]^2)+5

[[[x-19.5]^2]/1.75^2]+[[[y-0.5]^2]/3^2]>1,-2.5<y<3.5,x<19.5,1.5*y<-[x-19.5]^2+6,[[[x-17.5]^2]/1.75^2]+[[[y-0.5]^2]/3^2]<1

[[[x-19.5]^2]/1.75^2]+[[[y-0.5]^2]/3^2]>1,-2.5<y<3.5,x<19.5,1.5*y<-[x-19.5]^2+6,[[[x-17.5]^2]/1.75^2]+[[[y-0.5]^2]/3^2]>1,17.4<x

[[[x-17.5]^2]/1.75^2]+[[[y-0.5]^2]/3^2]<1,17.85>x,1.5*y>-[x-19.5]^2+6,y<0.15*x-3

0.5*y<[x-16.5]^2-0.26,y<0,x>16.5,y>0.15*x-3,1.5*y>-[x-19.5]^2+6

[[[x+0.025]^2]/1.75^2]+[[[y+0.25]^2]/3^2]>1.75,x<0,y>-3,[[[x+0.24]^2]/1.75^2]+[[[y+0.1]^2]/3^2]<2,y<3.75

[[[x+0.24]^2]/1.75^2]+[[[y+0.1]^2]/3^2]>2,x<1.1,-2.9<y,x>-2.7,y<0

[[[x+0.24]^2]/1.75^2]+[[[y+0.1]^2]/3^2]>2,-2.9<y,400*y<[x+15]^2+700,400*y>[x+15]^2-450,[[[x+5.1]^2]/1^2]+[[[y-1.95]^2]/1^2]>0.25,y<-(0.1*[x+0.7]^2)+5,y>[0.05*x+1.7],x>-5,x<0

[[[x+0.24]^2]/1.75^2]+[[[y+0.1]^2]/3^2]>2,x<1.1,-2.9<y,400*y<[x+15]^2+700,400*y>[x+15]^2-450,[[[x+5.1]^2]/1^2]+[[[y-1.95]^2]/1^2]>0.25,y<-(0.1*[x+0.7]^2)+5,y<[0.05*x+1.7]

400*y>[x+15]^2+700,-24<x<-4,[[[x+24]^2]/2^2]+[[[y-2]^2]/4^2]>1.3,[[[x+19]^2]/1^2]+[[[y-3]^2]/1^2]>0.5,[[[x+4]^2]/5^2]+[[[y+11.5]^2]/7^2]>6,-(200*y)>[x+15]^2-1415

400*y>[x+15]^2+700,-28.7<x<-2.4,[[[x+24]^2]/2^2]+[[[y-2]^2]/4^2]<1.3

y>0.03*x+5.75,-4<x<4,y<-(0.025*x)+6

y>-(0.025*x)+6,0>x>-4,-(200*y)>[x+15]^2-1400

y>0.15*x-3,1.75<x<16.49,y<0.15*x-1,x<4,[x+2.5]^2+[y-0]^2>5^2

y>0.15*x-1,1.9<x<17.6,[x+2.5]^2+[y-0]^2>5^2,y<0.2*x+2,x<4

y<-(0.1*[x+0.7]^2)+5,-6.25<x<4,400*y>[x+15]^2+700,[[[x+0.24]^2]/1.75^2]+[[[y+0.1]^2]/3^2]>2,y>0.2*x+2

400*y<[x+15]^2+700,-22<x<-2.4,y>-(0.1*x)-1.25,y>0.05*x+1.75,[[[x+23.5]^2]/2^2]+[[[y-3]^2]/4^2]>2,[[[x+4]^2]/5^2]+[[[y+11.5]^2]/7^2]>6

400*y<[x+15]^2+700,-28.7<x<-2.4,y>-(0.1*x)-1.25,y>0.05*x+1.75,[[[x+23.5]^2]/2^2]+[[[y-3]^2]/4^2]<2

y<0.03*x+5.75,-4<x<3,y>-(0.1*[x+0.7]^2)+5,y<4.45,[[[x-3]^2]/0.25^2]+[[[y-4.1]^2]/0.25^2]>2

y<0.03*x+5.75,-4<x<4,y>-(0.1*[x+0.7]^2)+5,y>4.45,[[[x-3]^2]/0.25^2]+[[[y-4.1]^2]/0.25^2]>2

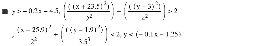
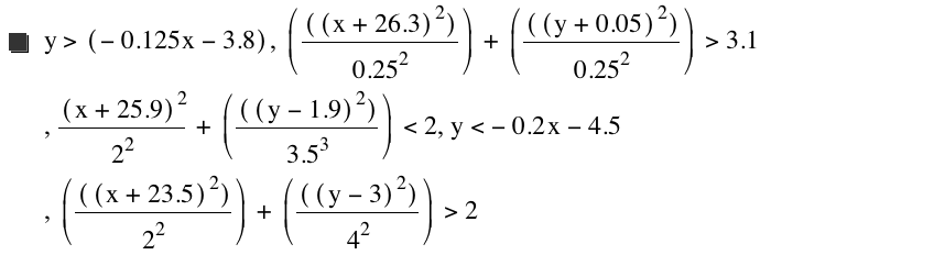
[[[x+25]^2]/1.75^2]+[[[y-3.5]^2]/3^2]<5,-27.65<x<-23.1,y<0,y>0.025*x-1.75,[[[x+24]^2]/3^2]+[[[y-4.2]^2]/3^2]>5

[[[x+25]^2]/1.75^2]+[[[y-3.5]^2]/3^2]<5,-27.65<x<-23.1,y<0,y<0.025*x-1.75

y<0.05*x+1.75,-20<x<-12.25,[[[x+4]^2]/5^2]+[[[y+11.5]^2]/7^2]>6,400*y>[x+15]^2-450

y<-(0.1*x)-1.25,-26.25<x<-20,400*y>[x+15]^2-450,[[[x+23.5]^2]/2^2]+[[[y-3]^2]/4^2]<2

y<-(0.1*x)-1.25,-26.25<x<-20,400*y>[x+15]^2-450,[[[x+23.5]^2]/2^2]+[[[y-3]^2]/4^2]>2,x>-23

y>-(0.1*[x+0.7]^2)+5,x<-6.75,y<-(0.1*x)-1.25,400*y>[x+15]^2-450,y<0.02*x-0.4,y<0.25*x+2.3

y>0.25*x+2.3,-13.75<x,y>2*x+22.75,[[[x+4]^2]/5^2]+[[[y+11.5]^2]/7^2]<6,y<[0.05*x+1.7]

400*y>[x+15]^2-450,x<-2.6,[[[x+23.5]^2]/2^2]+[[[y-3]^2]/4^2]>2,[x+25.9]^2/2^2+[[[y-1.9]^2]/3.5^3]<2,y<[-(0.125*x)-3.8]

y>[-(0.125*x)-3.8],[[[x+26.3]^2]/0.25^2]+[[[y+0.05]^2]/0.25^2]<3.1

y>[-(0.125*x)-3.8],[[[x+26.3]^2]/0.25^2]+[[[y+0.05]^2]/0.25^2]>3.1,[x+25.9]^2/2^2+[[[y-1.9]^2]/3.5^3]<2,y<-(0.2*x)-4.5,[[[x+23.5]^2]/2^2]+[[[y-3]^2]/4^2]>2

y>-(0.2*x)-4.5,[[[x+23.5]^2]/2^2]+[[[y-3]^2]/4^2]>2,[x+25.9]^2/2^2+[[[y-1.9]^2]/3.5^3]<2,y<[-(0.1*x)-1.25]

[[[x+19]^2]/1^2]+[[[y-3]^2]/1^2]<0.5,[[[x+18.8]^2]/0.25^2]+[[[y-3]^2]/1.25^2]>0.25,[[[x+19.2]^2]/0.25^2]+[[[y-3]^2]/1.25^2]>0.25,[[[x+19]^2]/0.25^2]+[[[y-3.35]^2]/0.25^2]>2

[[[x+18.8]^2]/0.25^2]+[[[y-3]^2]/1.25^2]<0.25,[[[x+19]^2]/0.25^2]+[[[y-3.35]^2]/0.25^2]>2

[[[x+19.2]^2]/0.25^2]+[[[y-3]^2]/1.25^2]<0.25,[[[x+19]^2]/0.25^2]+[[[y-3.35]^2]/0.25^2]>2

[[[x+19]^2]/0.25^2]+[[[y-3.35]^2]/0.25^2]<2


Graph of the formula

This file was created by Graphing Calculator 3.5.
Visit Pacific Tech to download the helper application to view and edit these equations live.